返回
顶部
【热点文章】含氮螺环芳酮的合成


背景介绍

含氮螺环芳酮化合物是一类具有独特螺环骨架和氮杂原子的芳香酮化合物,这类化合物因其特殊的刚性结构、多样的生物活性和在材料科学中的应用潜力,近年来受到有机化学、药物化学和功能材料等领域的广泛关注。其螺环结构的存在给予了该类分子较高的立体选择性和刚性,能够有效限制构象自由度,又因酮羰基的存在使其具有良好的光化学性质。总之,含氮螺环芳酮是一类兼具理论价值和应用前景的杂环化合物,其多学科交叉研究将为化学与生命科学提供新的工具和策略。


文章亮点

1.本文合成路线工艺简单且高效,构建螺环结构通常需要高效的环化策略(如分子内Friedel-Crafts酰基化、过渡金属催化偶联等),这些路线要么副产物多,要么需要使用到贵金属,本文路线仅通过两次分子内亲核取代即可得到螺环结构。

2.该类含氮螺环芳酮化合物大部分是首次报道的新化合物。


内容介绍

1  实验部分

1.1 主要仪器与试剂

1.2  实验方法

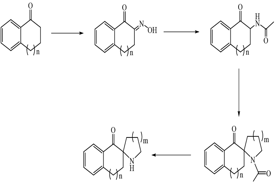
1.2.1  氨基芳酮化合物的合成

参考文献[15]的方法合成3,4-二氢-1-萘醌-2-肟(X11:采用标准Schlenk技术。向200 mL Schlenk瓶中加入10.78 g (96 mmol)叔丁醇钾,加入60 mL无水乙醚和60 mL叔丁醇。在冰水浴下缓慢滴加14 mL (104 mmol)亚硝酸异戊酯并搅拌30 min,慢慢滴加11.7 g(80 mmol)1-四氢萘酮,反应体系由浅黄色溶液逐渐呈紫色悬浮液,撤下冰水浴恢复室温,继续反应12 h。抽滤得到紫色固体,用无水乙醚洗涤固体,将该固体即加入200 mL(1mol/L)HCl溶液中分解,用二氯甲烷萃取 (30 mL × 3),饱和食盐水洗涤 (30 mL × 3),合并有机相,无水硫酸钠干燥,真空浓缩,用乙酸乙酯重结晶,抽滤得到10.51 g深黄色固体化合物X1,收率为75%。通过与文献[15]的标准谱图对比确认其化学结构。

1.2.2  含氮螺环芳酮合成

2 结果与讨论

2.1 芳香酮α-胺基化研究

    本文在芳香酮的羰基α-位引入肟基,然后还原并用乙酰基保护。理论上六元环的环张力小于五元环,应该是六元环的产物稳定性高、收率高,然而从实验结果可知,化合物X1的收率为75%,而化合物X2的收率为95%Zn粉还原并伴随酰胺化得到中间体Y的收率差异也很大,六元环萘酮得到的化合物Y1收率仅为55%,而五元环茚酮得到的化合物Y2的收率则为95%。这表明,苯并乙酮结构中,氢化茚酮分子中,由于共轭作用导致苯环和环戊酮的平面性更好,而苯并环己酮分子中,环己酮中3号碳原子处于平面外(图17),增大了空间位阻,导致肟产物X和还原产物Y收率都有所降低。 

2.2 含氮螺环芳香酮的结构解析

  本文对所合成的含氮螺环芳香酮进行了单晶培养,通过衍射对其进行了分析和表征,其单晶衍射图见图19,部分键长和键角数值见表1 

2.3 含氮螺环芳香酮合成工艺优化

整个合成路线中,化合物XY收率高,因此合成工艺没有进一步优化。本文仅对合成化合物PS的关键步骤进行了优化。

中间体P的合成工艺优化该反应路线中,关键步骤为化合物YP,也就是环化成螺的反应步骤,涉及到两次亲核取代,其反应合成路线及化合物P形成的反应历程,以化合物P5的合成为具体实例进行分析。


3   结论

本文使用廉价原料,通过常规方法高收率得到了一系列含有羰基和胺基的螺环化合物,对他们进行了表征,确认了结构。研究结果表明,五元螺环比六元环更容易形成,通过单晶衍射,确认了其空间结构,两个环在空间相互垂直分布,由于氮原子和羰基的吸电子诱导效应,螺环体系中的两个环结构都发生了变形,C—N键长比C—C变短,造成不规则结构。本文发展的方法,为新型手性螺配体合成提供了新的路径,也为限制几何构型茂金属提供了新型配体。


通讯作者介绍

许胜


个人简介

高级工程师,长期致力于药品中间体合成研究,获得国家自然科学基金资助课题、国家发改委资助课题,进行含氮杂环类化合物合成、表征、光学性能研究,先后进行过荧光材料咔唑基席夫碱、连续流制备吲哚醛酮、苯炔制备肉桂醛、以四氢呋喃为砌块制备苯甲醛制备肉桂酮等工作,拥有发明专利授权40项,发表研究论文40余篇。

主要研究方向

药物中间体合成

近五年代表作

1. 柯德宏,濮伟雯,潘莹莹,周少方,凌芳,许胜咔唑基席夫碱类化合物合成与分子内可交换氢键(ITP)对吸收和荧光光谱的影响化学试剂,202446(10)105⁃117. 

2. 柯德宏张文吴孝兰颜轲许胜3-吲哚甲醛类衍生物的微通道反应器合成研究化学试剂,202345(9):146- 153

3. 凌芳,柯德宏,罗强,许胜吲哚类抗抑郁药物的研究进展化学试剂,202345(3):37-46

4. Yong-Sen Shi, Jian-Feng Liu, Xiao-Lan Wu, De-Hong Ke, Sheng Xu. Tetrahedron Letters, 2021, 79:153304

5. Huan-liang Cao, Wei-wen Pu, Jie Zhang, Pei-jun Yan, Jun Zhang, Sheng Xu. Synlett, 2020, 31, 1287-1290.

团队照片