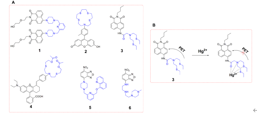
文章亮点 1.以汞离子的检测机理为出发点,分别从设计原理、选择性、灵敏度和实用性角度综述; 1 基于有机小分子的汞离子荧光探针 图1 A.配位型汞离子荧光探针;B.配位型汞离子探针作用机制示例 Fig.1 A. Coordination-based mercury ion fluorescent probe; B. Example of chelated mechanism of coordination-based mercury ion fluorescent probe 1.2 反应型小分子荧光探针 图2 反应型汞离子荧光探针 Fig. 2 Reaction-based mercury ion fluorescent probe 1.3 配位-反应结合型小分子荧光探针 2 近年来,材料科学的发展为分析测试领域开发和应用提供新的策略,科学家们将注意力转向开发新型功能高分子荧光材料。高分子荧光材料骨架中存在多个识别位点,相对于小分子荧光探针表现出更好的选择性和结合能力。 2.1 反应型功能高分子荧光材料 2.2 配位型功能高分子荧光材料 3 总结与展望 本文以汞离子的检测机理为重点研究对象,介绍了相关的有机小分子荧光探针及功能高分子荧光材料。并将其检测策略归纳为配位型、反应型及两者结合型3类。其中配位型小分子荧光探针具有检测速度快的特点。探针中的杂原子(N、O、S等)与汞离子发生配位作用,基于配位或化学键合作用生成Hg—N键、Hg—O键、Hg—S键等相应的配合物,改变了杂原子与荧光基团之间的电子传递方式,从而调控荧光变化实现汞离子的识别检测。相较于配位型汞离子荧光探针,反应型汞离子荧光探针选择性更高,通过羟汞化反应、硫代缩醛/酮脱保护反应或脱硫反应等机理,实现汞离子的专一性检测。


