引用本文:陈振羽,王金强,徐文静,等. 活性化合物泽兰素的合成研究进展[J]. 化学试剂, 2023, 45(6): 131-138.

黄年玉 《化学试剂》编委
三峡大学教授,教学名师,三峡学者,天然产物研究与利用湖北省重点实验室主任,制药工程学科主任;主持国家自然科学基金、湖北省教育厅项目等,在研企业委托药物合成工艺开发研究项目7项,以第一作者或通讯作者发表SCI论文60余篇,获批国家授权发明专利18项,获湖北省自然科学三等奖、中国民族医药科学技术二等奖、湖北省科学技术进步二等奖各一次。近年来一直担任Chem. Eur. Chem.、Eur. J. Med. Chem.、Bioorg. Med. Chem. Lett.、有机化学等学科重要期刊的审稿人。
背景介绍
华泽兰Eupatorium Chinense L.系菊科(Compositae)泽兰属Eupatorium L.植物的全草,为林缘、山谷、灌木丛或草地中的多年生草本或半灌木,是我国土家族和苗族等少数民族的一味传统中药,主要用于咽喉炎、感冒发热、麻瘆、肺炎、支气管炎,疮痈肿毒、毒蛇咬伤,胸胁胀痛和脘满腹胀等疾病的治疗。泽兰素是来源于泽兰属植物的苯并呋喃活性成分,具有抗肿瘤、抗炎、杀菌、降糖、抗抑郁和抗氧化等多种生物活性,具有进一步开发利用的前景。目前泽兰素的获取主要从泽兰属植物中提取分离得到。

文章亮点
1
系统综述了近50年来关于泽兰素的生物活性、合成方法和结构修饰的文献研究进展,以期为药用植物华泽兰活性成分泽兰素的进一步开发利用提供参考;
2
酰基苯并呋喃衍生化法、水杨醛环化法、烯炔偶联环化法和炔醇偶联环化法等4种方法可用于泽兰素的全合成;
3
在泽兰素的结构衍生方面,主要有泽兰素类似物和多聚体两类活性成分报道,具有很高的药用价值和极大的开发潜力。
内容介绍
1
泽兰素的生物活性研究进展
炎症是由致炎因子引起的机体组织损伤,目前基于炎症介质的化学结构和生物功能的了解,抗炎药物的设计研发已获得了进步。
泽兰素是华泽兰根主要抑菌活性成分之一。
2
2.1 泽兰素的化学合成研究
泽兰素是基于苯并呋喃结构的活性化合物,于1875年被命名[25],1890首次定其结构[26],1963年被首次合成[27],因其抗肿瘤、抗抑郁、抗炎和抗病毒等多样的活性而备受关注。
2.1.1 酰基苯并呋喃衍生化法合成泽兰素
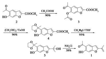
Ramachandran等[27]以5-乙酰-6-羟基苯并呋喃酸甲酯(2)为原料,经酚羟基酯化、羰基保护、与甲基碘化镁的格氏加成得到叔醇支链(5),经缩酮水解和羟基消除得到泽兰素(1),反应路线如图1所示。该方法路线不长,总产率可达到32%,但原料结构较为复杂,需要多步反应方可获取。

图1 5-乙酰基苯并呋喃衍生化法合成泽兰素
2.1.2 水杨醛环化法合成泽兰素
1971年,Elix等[29]以2-羟基-4-甲氧基苯甲醛(12)为原料,首先与氯丙酮在碱性条件下环化得到2-乙酰基-6-甲氧基苯并呋喃(13),再与乙酰氯和三氯化铝的酰化反应得到关键中间体二乙酰苯并呋喃(14),最后在过量碱存在下,与甲基三苯基磷的Wittig反应合成泽兰素。该法原料简单,路线短,3步产率分别是99%、6%和73%,第2步主产物为7号位乙酰化的异构体,总产率低至4.4%,反应路线如图2所示。

图2 水杨醛环化法合成泽兰素
2.1.3 烯炔偶联环化法合成泽兰素

图3 溴代芳烃和烯炔偶联环化法合成泽兰素
图4 炔醇偶联环化法合成泽兰素
3
泽兰素作为泽兰属植物苯并呋喃类化合物的代表,近年来在新药研发等方面获得了广泛关注。文献调研表明,泽兰素表现出多种生物活性,如抗肿瘤、抗炎、杀菌、降糖和抗抑郁等;另外,泽兰素的多聚体比单体化合物具有更好的生物活性。因此,泽兰素及其多聚体具有很高的药用价值和极大的开发潜力。
