硝基还原酶催化硝基咪唑还原机理的密度泛函理论研究
DOI:10.13822/j.cnki.hxsj.2023.0334
背景介绍

文章亮点
内容介绍
1 模型和计算方法
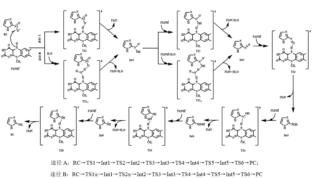
以硝基还原酶中的辅酶FMNH、2-硝基咪唑(2-Nitroimidazole,2-NI)、4-硝基咪唑(4-Nitroimidazole,4-NI)和5-硝基咪唑(5-Nitroimidazole,5-NI)为计算模型,探讨了硝基还原酶催化2-NI、4-NI和5-NI多次单电子还原后生成2-氨基咪唑、4-氨基咪唑和5-氨基咪唑的反应机理,如图1所示,以2-NI为例,硝基咪唑在还原酶作用下被还原成氨基咪唑的过程共涉及6e-/6H+的转移,可概括为三个步骤:首先,伴随2e-/2H+的转移,硝基被还原成亚硝基中间体(Int2),同时消除一分子H2O;然后,2e-/2H+的传递使亚硝基中间体(Int2)转化为羟胺中间体(Int4);最后,羟胺中间体(Int4)接受2e-/2H+,脱去一分子H2O生成氨基(PC)。

图1 硝基还原酶中FMNH介导的硝基咪唑假设还原机理
Fig.1 Supposed reduction mechanism of nitroimidazole mediated by nitroreductase
2 结果与讨论
2-NI经FMNH介导的单电子还原经历6步反应,包括第一步和第三步的羟基化反应(分别经历过渡态TS1和TS3)、第二步和第五步脱水反应(分别经历过渡态TS2和TS5)以及第四步和第六步氢转移反应(分别经历过渡态TS4和TS6)。

图2 B3LYP/6-31+G(d,p)水平上优化得到2-NI还原反应的过渡态结构与主要参数
Fig.2 Optimized structures and parameters of TSs in reduction of 2-NI calculated at B3LYP/6-31+G(d,p) theoretical level
不同水平上计算所得2-NI还原反应的势能曲线分别如图3所示。从图3所示B3LYP/6-31+G(d,p)水平上气相中各驻点的相对能量值分析可知,仅有第一步的羟基化反应得到Int1是吸热反应(ΔG = 6.89 kcal/mol),其余五步反应均为放热反应,整个反应过程也为放热反应(ΔG = -96.62 kcal/mol),表明FMNH催化2-NI的还原反应在热力学上是有利的。

图3 B3LYP/6-311+G(3df,2p)//B3LYP/6-31+G(d,p)水平计算所得FMNH介导2-NI、4-NI和5-NI还原反应势能曲线
Fig.3 Energyprofile of the reduction of 2-NI, 4-NI and 5-NI mediated by FMNH calculated at B3LYP/6-311+G(3df,2p)//B3LYP/6-31+G(d,p) theoretical level
3 结论
本文采用DFT方法对硝基还原酶中辅酶FMNH催化的2-NI、4-NI和5-NI的还原机制进行了研究,探讨了三者在FMNH作用下经历6步1e-/1H+转移最终还原为胺基咪唑的能量变化趋势。结果表明,3种硝基咪唑第一步反应均为直接接受来自FMNH的1e-/1H+;在接下来的第二步反应中,以H2O作为质子传递媒介,Int1从FMNH得到1e-/1H+生成亚硝基中间体Int2;然后,经历4次均为放热反应的1e-/1H+转移过程,最终生成还原产物氨基咪唑。本研究阐明了以硝基咪唑为响应基团的低氧激活前药的酶催化还原反应机制,为设计和研发新型低氧靶向性药物提供了理论依据。
