3种方法制备NiCoCr-LDHs对MO的吸附性能研究
引用本文:蒋以晨,田慧媛,夏梦岩,等. 3种方法制备NiCoCr-LDHs对MO的吸附性能研究[J]. 化学试剂,2024,46(1):59-68.
DOI:10.13822/j.cnki.hxsj.2023.0560
背景介绍
随着现代工业化的迅速发展,环境污染问题日益突显,由工业化造成的水污染已成为全球水污染主要问题之一。其中,印染废水因含有发色基团、变色基团和共轭芳香结构,具有成分复杂、色度深、难降解、毒性强含量相对较高等特点,成为环境治理问题的难点之一。为了消除这些污染物对生态系统的不利影响,许多研究者使用不同技术治理污染问题,如膜过滤、电渗析、光催化、絮凝、生物法、化学氧化还原和吸附。与其他技术相比,吸附法因其操作简单、高效、易回收和环境友好,是较为合适的水处理的方法,目前常用的吸附材料如活性炭、石墨烯复合材料、沸石难以处理高浓度染料废水污染物废水,因此制备出简单且吸附效果优异的材料成为研究的重点。

文章亮点
1.使用尿素水解法(Urea)、恒定pH共沉淀法(CC-H)、超声共沉淀法(U-H)制备了新型NiCoCr-LDHs吸附剂;
2.研究其在各种因素条件下对甲基橙染料废水的吸附性能的影响,并对3种NiCoCr-LDHs吸附实验的结果进行分析与评价。
内容介绍
1 实验部分
1.1 主要仪器与试剂
1.2 实验方法
1.2.1 尿素水解法制备NiCoCr-LDHs
按物质的量之比为1:1:1称取总量为0.1 mol的Ni(NO3)2·6H2O、Co(NO3)2·6H2O、Cr(NO3)3·9H2O,配置成100 mL的溶液。称取0.2 mol的尿素(urea),配置成100 mL的尿素溶液。将金属盐溶液与尿素溶液等体积混合,搅拌均匀后,倒入反应釜中,在120 ℃下反应12 h后得到沉淀产物,使用去离子水洗涤至中性。在60 ℃下烘干24 h,研磨成粉备用,即得到尿素水解法制备的NiCoCr-LDHs,记作Urea。
1.2.2 恒定pH共沉淀法制备NiCoCr-LDHs
恒定pH共沉淀法(简称CC-H)。按物质的量之比为1:1:1称取总量为0.1mol的Ni(NO3)2·6H2O、Co(NO3)2·6H2O、Cr(NO3)3·9H2O,倒入100 mL的去离子水中搅拌30分钟至完全溶解状态,同时配制2 mol/L的NaOH溶液备用。
2 结果与讨论
2.1 表征结果
2.1.1 XRD和FT-IR分析
如图1a所示,展示了Urea、CC-H、U-H的XRD衍射图。

图1 Urea、CC-H、U-H的XRD(a);FT-IR(b)
Fig.1 XRD (a), FTIR (b) of Urea,CC-H and U-H
2.1.2 SEM形貌分析
如图2所示,分别对Urea、CC-H、U-H 3种方法制备的NiCoCr-LDHs进行SEM和EDS测试,其SEM测试结果如图2a~2c所示。

图 2 Urea(a、d)、CC-H(b、e)、U-H(c、f)的SEM和Mapping图
Fig.2 SEM and mapping maps of Urea (a、d), CC-H (b、e), and U-H (c、f)
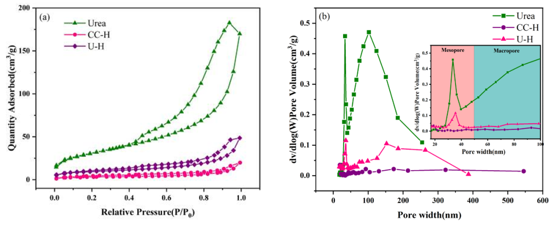
2.1.3 比表面积与孔径分析
Urea、CC-H、U-H的N2吸附脱附曲线和孔径分布如图3所示,根据IUPAC等温线分类标准,可将制备的3种NiCoCr-LDHs吸附材料归类于Ⅳ型,在相对压力下呈现H3型滞后环,表明3种NiCoCr-LDHs为非刚性的颗粒聚集体板状形式,创造了不同形状和大小的狭缝状孔隙[21]。

图3 Urea、CC-H、U-H的N2吸附脱附曲线(a);孔径分布图(b)
Fig.3 N2 adsorption and desorption curves (a) and aperture distribution map (b) of Urea, CC-H and U-H
2.1.4 TG-DSC分析
材料的热稳定性可以通过热分析来评估,如图4所示,从图4a中可以看出尿素水解法制备的NiCoCr-LDHs的第一阶段的失重发生在46~199℃范围内,失重比约为15.02%,此阶段的失重是由于层间水分子随温度的升高而蒸发所致[23],该阶段材料仍保持层状结构,未遭到破坏。

图4 Urea(a)、CC-H (b)、U-H(c)的TG-DSC图
Fig.4 TG-DSCof Urea (a), CC-H (b) and U-H (c)
2.1.5 ICP和元素分析
为了对Urea、CC-H、U-H这3种合成方法制得的NiCoCr-LDHs进行元素含量测定,分别对它们进行了ICP和元素分析测试。如表2所示,可以看到CC-H的Ni元素含量为17.5272%,是3种材料中含量最高的,同时Co元素的含量也是最高的,为17.5825%。

2.1.6 XPS分析
如图5所示,使用XPS研究分析了3种NiCoCr-LDHs的价态和元素组成。

图5 3种材料的Ni(a),Co(b),Cr(c)和总谱图(d)XPS分析
Fig.5 (a)Ni, (b)Co, (c)Cr,(d) full spectrum XPS analysis of three materials
2.2 吸附条件对NiCoCr-LDHs吸附性能的影响
2.2.1 吸附时间与吸附温度对吸附实验的影响
在常温原始pH条件下,将MO的初始浓度定为200 mg/L,材料投加量定为20 mg,分别以10、20、30、45、60、90、120 min为时间梯度,探究NiCoCr-LDHs吸附时间对MO的去除率的影响。
2.2.2 甲基橙浓度对吸附实验的影响
MO的初始浓度也是吸附过程中的一个重要影响因素。本实验研究了Urea、CC-H、U-H方法制备的NiCoCr-LDHs吸附剂,在常温原始pH条件下,3种NiCoCr-LDHs材料投加量为20 mg,初始MO浓度梯度设置为50、100、200、300、500、700、1000 mg/L,对3种NiCoCr-LDHs展开吸附实验。
3 结论
本文采用尿素水解法、恒定pH共沉淀法、超声共沉淀法制备新型三元NiCoCr-LDHs吸附材料。系统研究了吸附时间、甲基橙浓度、温度、pH、材料投加量对NiCoCr-LDHs吸附甲基橙的影响。Urea、CC-H、U-H的最大吸附容量分别为355、390和278 mg/g。实验建立了吸附动力学模型解释3种材料对甲基橙的吸附过程。结果表明,3种材料更符合准二级动力学模型,说明3种材料以化学吸附为主。同时也建立了5种吸附等温线模型,Langmuir等温线模型更适用于描述3种材料的吸附过程,表明材料是以单层吸附为主。
