
背景介绍
锂离子电池正极材料中的橄榄石型结构的磷酸盐材料因其优异的安全性和稳定性备受关注。LiFe₀.₄Mn₀.₆PO₄(简称LFMP)作为磷酸铁锂(LiFePO₄, LFP)和磷酸锰锂(LiMnPO₄, LMP)的固溶体材料,结合了二者的优势,成为当前研究热点。多孔材料因其独特的结构优势——高比表面积、可调控的孔道结构及丰富的活性位点,已成为突破传统正极材料容量与动力学限制的关键策略。基于以上考虑本文通过葡萄糖辅助溶剂热法来制备多孔LFMP材料。

文章亮点
1. 报道了一种葡萄糖辅助溶剂热法来制备锂离子电池正极材料多孔LiFe₀.₄Mn₀.₆PO₄(简称LFMP)材料;
2. 制备的多孔LiFe₀.₄Mn₀.₆PO₄ 材料在锂离子电池中表现出优异的电化学性能;
3.为提高锂离子电池正极材料LiFe₀.₄Mn₀.₆PO₄(简称LFMP)电化学性能提供了一种新的思路,也为制备多孔LFMP材料提供了参考。
内容介绍
1 实验部分
1.1 主要仪器与试剂
1.2 实验方法
1.2.1 LiFe0.4Mn0.6PO4/C复合材料的制备
1.2.2 LiFe0.4Mn0.6PO4/C复合材料的表征及电化学性能测试
X射线衍射在10°~80°范围内使用Cu Kα辐射对制备的LiFe0.4Mn0.6PO4/C进行物相分析。使用场发射电子显微镜对样品的形貌进行表征。通过能量色散X射线能谱分析LiFe0.4Mn0.6PO4/C样品的元素分布。使用比表面积及孔隙度分析仪获取77 K下氮吸附/解吸等温线来表征样品的比表面积和孔径分布。激光粒度分析采用湿法测试。
2 结果与讨论
2.1 物相形貌分析
通过X射线衍射法(XRD)对制备的材料进行了物相分析,结果如图1所示。

制备的LiFe0.4Mn0.6PO4/C材料形貌如图2所示。可以看到没有葡萄糖的溶剂热法制备的LiFe0.4Mn0.6PO4/C-1颗粒粒径较大,呈现长为800 nm、宽为400 nm的纺锤形结构,出现明显团聚现象。
为进一步确定LiFe0.4Mn0.6PO4/C纳米材料的元素组成和分布,对制备的LiFe0.4Mn0.6PO4/C材料进行了EDS和元素Mappings分析,结果如图3所示。

LiFe0.4Mn0.6PO4/C-1和LiFe0.4Mn0.6PO4/C-2两个样品透射电镜测试结果如图4所示。

2.2 电化学性能分析
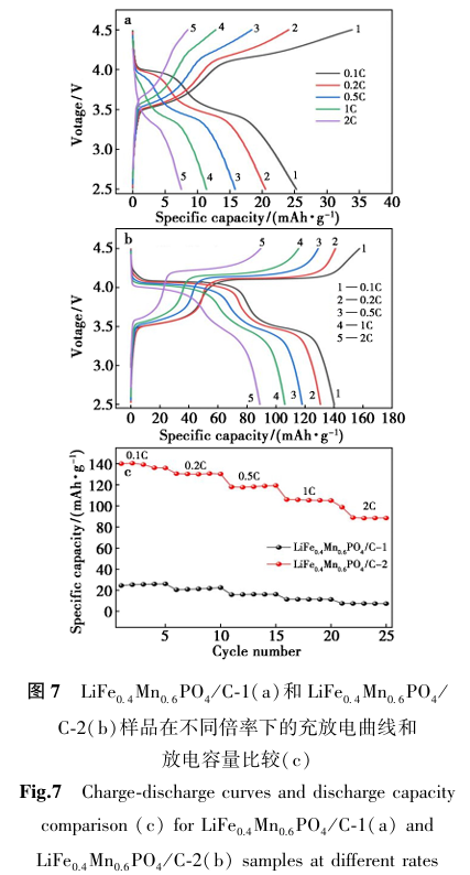
图7展示了LiFe0.4Mn0.6PO4/C-1和LiFe0.4Mn0.6PO4/C-2两个样品在0.1~2 C倍率(1 C=170 mAh/g)的充放电曲线和倍率性能。

图8显示了LiFe0.4Mn0.6PO4/C-1和LiFe0.4Mn0.6PO4/C-2两种材料的充放电循环性能。在1 C循环100次后,LiFe0.4Mn0.6PO4/C-1和LiFe0.4Mn0.6PO4/C-2的容量保持率分别为89.6%和94.7%,LiFe0.4Mn0.6PO4/C-2循环稳定性明显高于LiFe0.4Mn0.6PO4/C-1。图9为LiFe0.4Mn0.6PO4/C-2在第1次和第100次充放电曲线,库伦效率分别达到98.8%和94.1%,说明该材料在充放电中具备良好的可逆性。


3 结论
本文采用溶剂热法制备了LiFe0.4Mn0.6PO4/C-1和LiFe0.4Mn0.6PO4/C-2两种复合材料。通过对比研究发现,葡萄糖能在水热法制备LiFe0.4Mn0.6PO4/C材料中调控其结构和形貌,使得制备的LiFe0.4Mn0.6PO4/C材料粒径更小,形貌更规则,呈棒状多孔结构。得益于这些纳米多孔结构,LiFe0.4Mn0.6PO4/C材料表现出更优异的倍率性能和循环性能,在0.1、0.2、0.5、1和2 C时,放电比容量分别达到140.1、130.6、118、106.1和88.9 mAh/g,在1 C倍率下充放电循环100次后保持率达94.7%。本研究不仅为高性能锂离子电池正极材料的开发提供了新的思路,也为推动LiFe0.4Mn0.6PO4材料的实际应用打下基础。
通讯作者介绍

李济澜
个人简介
李济澜,男,汉族,工学博士,副教授,硕士生导师。主要研究方向为无机材料和化学电源。主持完成一项省级自然科学基金项目和一项校级自然科学基金课题。以第一作者/通讯作者在 J. Org. Chem, J ELECTROCHEM SOC, J Porous Mater等国内外期刊公开发表论文10余篇,申请国家发明专利5项。
主要研究方向
锂离子电池、无机材料
近五年代表作
(1) JiLan Li ; One-Pot Hydrothermal Synthesis of Porous α-Ni(OH)2/C Composites and Its Application in Ni/Zn Alkaline Rechargeable Battery, Journal of The Electrochemical Society, 2018, 165(5): A910-A917
(2) JiLan Li ; One-step facile synthesis of Ni2P/C as cathode material for Ni/Zn aqueous secondary battery, Materials Research Express, 2018, 5(01): 015502-015511
(3) JiLan Li ;The novel mesoporous NiO/C microspheres as cathode material for alkaline NiO-Zn battery, Journal of Porous Materials, 2020, 27: 1447-1454
课题组介绍:
本新能源团队目前有4名教授和8名硕士研究生,主要研究锂离子电池和锌离子电池,已获得一项国家基金和三项省级基金资助。
