引用本文:张昊祯,杨爱岗,张岩,等. 加味桃红四物汤含量测定、指纹图谱以及抗氧化活性研究[J]. 化学试剂,2023,45(1):129-135.DOI:10.13822/j.cnki.hxsj.2022.0573
桃红四物汤(Taohong Siwu Decoction,TSD)由红花、桃仁、当归、白芍、川芎、地黄6味药材组成,具有活血祛瘀、养血调经的功效。近年来随着对该方药理作用的深入研究,发现除传统功效之外,桃红四物汤还可表现出一定的神经保护、抗炎、降血脂等作用。除此之外,桃红四物汤可表现出一定的抗氧化活性,其中的芳香酸类及其苷类成分被认为是桃红四物汤发挥抗氧化作用的主要效应物质基础。
建立了加味桃红四物汤的HPLC指纹图谱,指认并测定没食子酸、苦杏仁苷、绿原酸等12种成分的含量,结果表明分离良好,化学成分信息丰富;
评价其抗氧化活性,为经典名方桃红四物汤在传统功效之外的开发利用提供理论依据。
1.1 主要仪器与试剂
1.2 色谱条件
1.3 混合对照品溶液
分别取1~12号成分对应标准品(没食子酸、苦杏仁苷、绿原酸、芍药内酯苷、羟基红花黄色素A、芍药苷、阿魏酸、洋川芎内酯I、毛蕊花糖苷、1,4-二[4-(葡萄糖氧)苄基]-2-异丁基苹果酸酯、苯甲酰芍药苷、藁本内酯)适量,精密称取后置于容量瓶中,加甲醇溶解并定容,分别得到质量浓度为3.33、5.72、2.86、3.16、2.68、3.33、3.39、3.18、2.95、3.23、3.29、4.00 mg/mL的对照品储备液。1.4 全方供试品溶液
取11.2 g加味桃红四物汤标准煎液,将其减压浓缩后充分干燥,得到5.1 g无流动性浸膏。2.1 方法学考察
2.1.1 重复性实验
取加味桃红四物汤样品,分别根据1.4中方法平行制备6份供试品溶液。2.1.2 精密度实验
取加味桃红四物汤样品,根据1.4中方法制得供试品溶液,平行6次注入HPLC色谱仪。2.2 图谱生成及相似度评价
根据1.4中方法制备10批样品溶液(编号S1~S10),色谱条件同1.2,记录图谱,导入《中药色谱指纹图谱相似度评价系统》,采用中位数法及多点校正,时间宽度0.1 min,生成对照图谱(见图1)。
图1 10批样品HPLC指纹图谱
Fig.1 HPLC fingerprints for 10 batches of samples
2.3 聚类分析
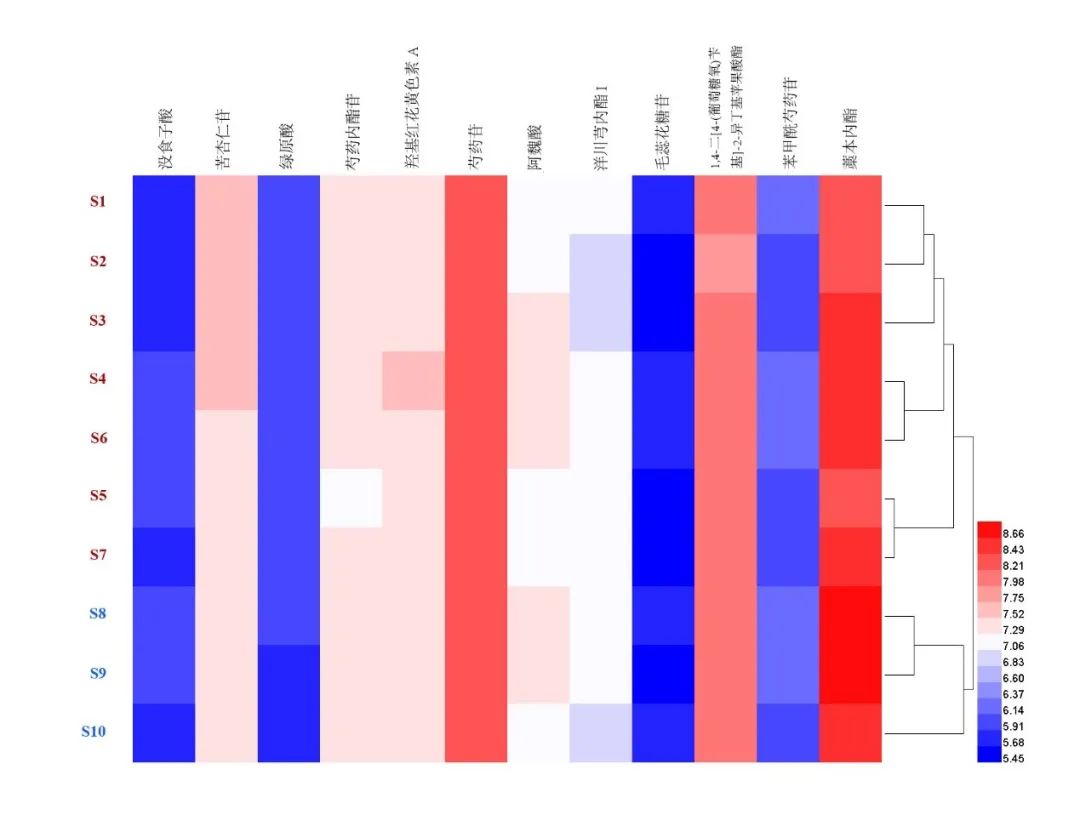
使用Heatmap Illustrator软件,根据样品测定结果,进行聚类分析(结果如图2所示)。
图2 10批样品中12种成分含量聚类分析热图
Fig.2 Heatmap visualization of cluster analysis of 12 components in 10 batches of samples
2.4 OPLS-DA分析
为了进一步研究不同批次间12种指标成分的具体含量差异,对样品测定结果进行正交偏最小二乘判别分析(OPLS-DA),分析结果见图3、4。
图3 10批样品的OPLS-DA得分图
Fig.3 OPLS-DA score plot of 10 batches of samples

图4 12种成分的VIP值
Fig.4 VIP value of 12 components
本研究建立了加味桃红四物汤HPLC指纹图谱,同时测定了没食子酸、苦杏仁苷、绿原酸、芍药内酯苷、羟基红花黄素色A、芍药苷、阿魏酸、洋川芎内酯I、毛蕊花糖苷、1,4-二[4-(葡萄糖氧)苄基]-2-异丁基苹果酸酯、苯甲酰芍药苷、藁本内酯的含量,并测定其抗氧化活性。本方法采用指纹图谱定性与有效成分定量相结合,研究结果表明其分离度良好,化学成分信息丰富,可对加味桃红四物汤进行整体性评价并反映其内在质量差异,为该制剂的质量控制提供了科学性参考,同时也为经典名方桃红四物汤在传统功效之外的开发利用提供理论依据。