【编委专辑】上海交通大学金慧子研究员:桫椤的化学成分及药理活性研究进展
引用本文:王文沛, 张昊祯, Ishaq Muhammad, 等. 桫椤的化学成分及药理活性研究进展[J]. 化学试剂, 2023,45(6):44-51.DOI:10.13822/j.cnki.hxsj.2023.0006
上海交通大学药学院研究员。多年来致力于中药复方包括民族药的药效物质基础、作用机制研究与大健康产品研发。承担了国家“重大新药创制”重大专项、 国家自然科学基金项目、上海市科委基金项目等。先后完成了旋覆花属、兔儿风属、角蒿属、冷杉属、瑞香属、斑鸠菊属等超过60多种植物的药效物质基础研究。利用含有8000多个中药组分和化合物的大规模中药化学成分库,结合多靶点药物筛选模型已经发现超过10种创新药物的先导结构并申请专利。共发表学术论文200余篇;申请专利10余项。
桫椤(Alsophila spinulosa)是一种木本蕨类植物,在民间有食用和药用的历史。其主要成分有黄酮、甾体、三萜类化合物、苯丙素类、芳香族、有机酸、脑苷脂类、脂肪烃等。通过对桫椤提取物及其活性成分的药理作用进行总结,发现其具有抗菌、镇痛、抗氧化、祛痰止咳、免疫调节、抗肿瘤以及抗阿尔兹海默等生物活性。

基于近年来公开发表的文献,对桫椤的化学成分、主要药理作用进行综合分析;
有研究者利用经典的显色反应和沉淀反应,推测出桫椤的茎干、叶和茎皮中可能含有多肽、酚类、多糖、甾体及三萜类、黄酮类、强心甙、蒽醌等成分。进一步统计了桫椤成分分离的研究成果,发现研究人员已经从中分离得到的约99个有机化合物,其中多数为桫椤茎中分离得到,主要的化合物类型为黄酮类、甾体和三萜类化合物、苯丙素类等。
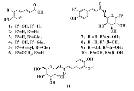
1.1 黄酮类
黄酮类化合物是植物次生代谢产物,广泛地存在于自然植物中,以游离态或与糖结合为苷的形式存在,根据此前的报道,推测黄酮类化合物是桫椤中的主要成分之一。
Fig.1 Flavonoids from A. spinulosa1.2 甾体类
甾体类成分广泛分布于植物中,主要存在于百合科、薯蓣科、菝葜科、玄参科、龙舌兰科等植物中。此前研究者从桫椤茎、叶中共分离得到了9个甾体类化合物。
Fig.2 Steroids from A. spinulosa1.3 萜类
萜类化合物是一类主要来自植物的天然化合物,一般由异戊二烯(C5)单元组成,根据其数量可分为半萜类化合物(C5)、单萜类化合物(C5)、倍半萜类化合物(C15)、二萜类化合物(C20)以及三萜类化合物(C30)[25, 26],目前从桫椤中共分离得到了18个萜类化合物。
Fig.3 Terpenoids from A. spinulosa1.4 苯丙素类
苯丙素类化合物主要包括简单苯丙素、香豆素和木脂素,文献报道,此前研究人员从桫椤中共分离得到了20个简单苯丙素类化合物和1个木脂素类化合物。
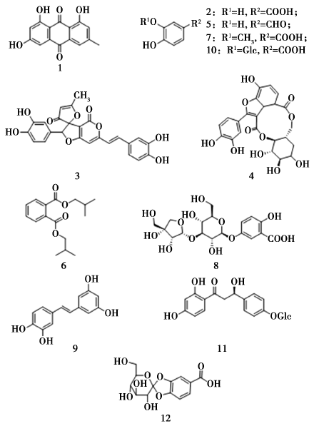
Fig.4 Phenylpropanoids from A. spinulosa1.5 芳香族类
芳香族类化合物是指分子中至少含有1个带离域键的苯环结构的化合物,文献中报道了12个从桫椤中分离得到的芳香族类化合物。
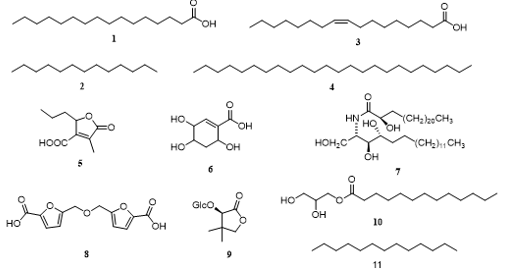
Fig.5 Aromatic compounds from A. spinulosa1.6 其他
此外,文献报道了桫椤中分离得到的18个其他类的化合物,主要包括有机酸类、脑苷脂类、脂肪烃类等。以上化合物均来源于桫椤茎。
Fig.6 Other compounds from A. spinulosa桫椤的干燥茎,称为龙骨风、飞天蠄蟧,是壮族、侗族、瑶族等少数民族的传统药物,在诸多本草著作中有记载。桫椤茎中主要的化合物类型为黄酮类、甾体和三萜类化合物、苯丙素类等,其提取物或单体成分具有抗菌、镇痛、抗氧化、免疫调节、祛痰止咳等活性。研究显示桫椤叶的提取物对大肠杆菌具有较好的抑制效果,而桫椤茎干的提取物对枯草芽孢杆菌具有较好的抑制效果。然而,目前关于桫椤的药理作用与化学成分的研究还不够系统全面,因此,加强对桫椤的成分研究,明确其成分与药理活性之间的作用机制,对于桫椤下一阶段的研究具有重要临床价值。