【科普讲堂】合成神奇荧光染料-氮杂BODIPY的化学试剂探秘
合成神奇荧光染料-氮杂BODIPY的化学试剂探秘
贾雷
(中国地质调查局呼和浩特自然资源综合调查中心)
想象一下,科学家们能在微观世界里像搭积木一样精确地构建分子,创造出能吸收和发射特定颜色的染料,其中氮杂BODIPY就是这样一类令人瞩目的分子,它们在生物成像、传感甚至太阳能电池等领域大放异彩。我们就来揭秘科学家Fergal O'Shea团队发明的一种巧妙合成方法,重点看看那些扮演着“分子建筑师”角色的神奇化学试剂是如何一步步搭建起这个荧光分子的骨架的。
.png)
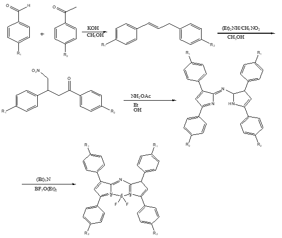
核心步骤
F. O’Shea法是利用麦克尔亲核加成反应,将查尔酮和硝基甲烷加成后的产物,在醋酸铵的乙醇溶液中反应,生成四芳基氮杂二吡咯前驱体,最后在三氟化硼乙醚配位下形成氮杂BODIPY。其合成的氮杂BODIPY包含以下核心步骤(1)迈克尔加成(Michael Addition)是利用查尔酮(R¹,R²-取代)与硝基甲烷在碱性条件下反应生成β-硝基酮中间体(2)缩合环化 (Condensation/Cyclization)是利用β-硝基酮与醋酸铵在乙醇中反应,形成关键的四芳基氮杂二吡咯前驱体(3)硼配位关环(BF₂ Coordination)是氮杂二吡咯前驱体与三氟化硼乙醚配合物反应,最终形成具有刚性平面结构的氮杂BODIPY染料,在这些关键步骤中试剂尤其重要,“他们”的合理协作合成出能吸收和发射特定颜色的染料。
.png)
连接分子的“胶水”-硝基甲烷
硝基甲烷(Nitromethane, CH₃NO₂)是一种亲核试剂(Michael Donor),其作用原理是在碱性催化剂(如哌啶、DBU)活化下,硝基甲烷的α-碳失去质子形成亲核性碳负离子(-CH₂NO₂),该碳负离子进攻查尔酮的β-碳(亲电的烯酮部分),发生经典的迈克尔加成反应生成1,5-二羰基等价物-β-硝基酮(Ar-CH₂-CH(Ar)-C(O)CH₂NO₂),硝基(-NO₂)是强吸电子基团,显著增强其α-氢的酸性(pKa ≈ 17.2在DMSO中)使其易于在温和碱作用下形成稳定的碳负离子进行亲核加成。同时,硝基在后续缩合环化步骤中作为优良的离去基团(经脱水或还原消除过程转化为亚硝酸根或氮氧化物离去)促使吡咯环的形成。
(1).png)
构建核心骨架的“建筑师”-醋酸铵和乙醇
醋酸铵(Ammonium Acetate, CH₃COONH₄)是一种多功能试剂,既是氮源(Nucleophile)又是温和的酸催化剂,其作用原理是提供氨分子。在反应条件下,醋酸铵分解产生氨气,氨分子的氮原子作为亲核试剂,进攻β-硝基酮分子中的羰基碳,经过一系列复杂的脱水、脱亚硝酸反应,最终导致两个新的C-N键形成和吡咯环的构建,这是形成氮杂二吡咯骨架的关键步骤。其作为酸催化剂,醋酸铵溶液呈弱酸性,醋酸提供质子,对反应过程中的中间体进行质子化,调节反应体系的pH值,促进脱水等步骤的进行,并可能稳定某些中间体,其缓冲性质有助于维持反应在相对稳定的酸碱环境中进行避免副反应。反应通常在乙醇中进行,乙醇作为极性溶剂,能有效溶解醋酸铵、反应物和中间体,并提供质子传递环境,促进缩合和脱水过程,其沸点适中适合加热回流操作。
(2).png)
点亮荧光的“稳定器”-三氟化硼乙醚配合物
三氟化硼乙醚配合物(Borontrifluoride Diethyl Etherate, BF₃·OEt₂)作为路易斯酸(Lewis Acid)提供硼源,其作用原理是BF₃为强路易斯酸,其空轨道优先与氮杂二吡咯前驱体两个吡咯环上的氮原子(路易斯碱)的孤对电子配位,这种配位作用极大地增强了吡咯氮的离去倾向关环与稳定化,配位后BF₃单元桥连两个氮原子,形成一个刚性的BF₂桥,该过程伴随着两个C-B键的形成(实际机理可能是B-N配位后,氟离子迁移或溶剂参与,最终形成B-N₂配位中心与两个B-F键),完成六元螯合环BODIPY核心的构建,BF₂基团的引入是BODIPY类染料的核心特征,它赋予分子优异的平面性、刚性以及由此产生的独特光物理性质如高荧光量子产率、窄吸收和发射带宽。
实验注意
O’Shea法设计为迈克尔加成与缩合环化两步在乙醇/醋酸铵体系中连续进行,通过“一锅法”简化操作。醋酸铵的纯度对缩合环化效率至关重要,潮解或含杂质可能导致反应不完全或副产物增多,BF₃·OEt₂应避免长时间暴露于空气中以防分解,硝基甲烷易燃易爆,BF₃·OEt₂遇水剧烈反应释放HF和BF₃气体,具有强腐蚀性和毒性,操作需在通风橱内严格防护。
纯度控制
硝基甲烷操作时需要注意严格无水处理,使用前加4Å分子筛干燥24h蒸馏收集。查尔酮滴加时维持低温,温度保持在0-5°C后升至室温搅拌。醋酸铵操作时试剂要预处理研碎醋酸铵成细粉(<100目),80°C真空干燥2h,梯度升温是先40°C溶解醋酸铵,再升至78°C回流。三氟化硼乙醚配合物操作时需注意开瓶分装后充氩保存,滴定前重新蒸馏,始终现用现配,前驱体溶于无水二氯甲烷,在-10°C下滴加BF₃·OEt₂。
结语
O'Shea法合成氮杂BODIPY就像一场精密的分子建造工程,首先是硝基甲烷作为“分子胶水”,通过迈克尔加成把查尔酮“积木”连接起来,并自带后续环化的“关键机关”,其次是醋酸铵作为核心“建筑师”和“环境调控师”,提供氮原子“积木”,指挥分子折叠环化构建出核心双环骨架,并在乙醇溶剂的帮助下营造完美的反应环境,最后是三氟化硼乙醚配合物作为最终的“整形师”和“稳定器”,用其强路易斯酸特性抓住核心骨架的两个氮原子,构建出刚性的BF₂桥“拱顶”赋予分子完美的平面结构和标志性的优异荧光性能。
O’Shea法合成氮杂BODIPY的成功,深刻体现了核心化学试剂在驱动关键反应步骤中的决定性作用。硝基甲烷作为强亲核体构建碳骨架,醋酸铵提供氮源并调控反应环境,BF₃·OEt₂则作为路易斯酸硼源完成最终的配位关环与稳定化,深入理解这些试剂的作用机制,不仅有助于优化现有合成工艺,更能为设计新型氮杂BODIPY结构及探索其应用潜力提供坚实的化学基础。
(1).png)




