
华东师范大学二级教授,国家杰出青年基金、国家优秀青年基金获得者,国家万人计划入选者,教育部青年长江学者。已在Chem,Nat. Syn.,JACS,ACIE,Natl. Sci. Rev. 等顶尖期刊上发表论文170余篇,拥有授权专利50余项,参与编撰专业书籍12本。研究方向:合成方法创制导向的药用天然产物全合成、功能材料合成;科学本质建模导向的高端仪器开发、合成自动化与智能化。中国化学会高级会员,英国皇家化学会士。《化学教育》和《化学试剂》副主编,《National Science Review》、《Science Bulletin》和《化学通讯》编委,美国化学会《ACS Sustainable Chemistry & Engineering》、 《Organometallics》, Wiley《European Journal of Organic Chemistry》、 《Heteroatom Chemistry》 等顾问编委。
背景介绍
硫化学应用前景广阔,涉及生命科学、化工生产、材料科学和能源储存等多个领域。从生命角度来看,硫元素主要以含硫巯基的氨基酸和多肽的形式存在,是蛋白质和其他生物分子的重要组成部分,被广泛应用于医药、食品和精细化工等领域;在化工生产中,硫元素广泛用于橡胶、纸浆、玻璃、石油加工和金属提取等领域,含硫化合物在石油、煤炭等化石燃料的加工过程中具有重要作用;能源领域,硫化物作为锂离子电池和钠离子电池的正极材料,具有高容量、长循环寿命和低成本的特点,被广泛研究和应用于储能系统。随着科技的不断进步和对可持续发展的需求增加,硫化学在解决能源和环境问题、推动科学技术创新等方面将发挥越来越重要的作用。

文章亮点
1
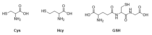
生命科学:阐述了人体中的硫形式,主要以硫化氢、半胱氨酸、高半胱氨酸、谷胱甘肽等形式存在,并描述了各自在人体中的作用机制;
2
化工生产:有机硫化物是重要的精细化学品和医药农药中间体,文中列举了奥美拉唑治疗胃病的作用机制,展示了含硫试剂的引硫策略来合成除草剂和杀虫剂;
3
能源领域:硫化学应用广泛,涉及到锂/钠硫电池,聚苯硫醚,热固材料,自修复材料,光学材料和含硫催化剂等,为可持续能源的开发提供了新的途径。
内容介绍
1
生命体内含硫化合物

2
精细化工及医药农药中间体
有机硫化物广义上指含有碳硫键的有机化合物,是重要的精细化学品和医药农药中间体,在医药、农药、香精香料等领域具有重要应用。

图2 代表性有机硫化物的化学结构
Fig.2 Structure of representative sulfur-containing compounds
3
含硫新材料
3.1 金属硫化物
3.2 锂硫电池、钠硫电池
3.3 聚苯硫醚(PPS)
3.4 基于聚硫醇的热固/光固材料
3.5 含硫自修复材料
3.6 含硫新型光学材料
3.7 含硫催化剂
4
结论
含硫化合物及材料在科研领域和工业生产中都占据重要地位,关乎民生,应用广泛。其中,生命体内含硫化合物与机体的各种生理过程紧密相关,对生命体的正常运转具有重要作用。此外,从含硫基础原料高效引硫,合成至精细化工品以及医药农药中间体,进而被应用于医药、农药、香精香料等领域。不仅如此,含硫新材料从“润滑剂之王”的二硫化钼,高性能聚合物聚苯硫醚到含硫电池的开发应用等,大大提升了人们的生活质量。总之,推动关于硫化学的科学研究和工业应用对推进现代生命科学、材料科学、储能科学的发展,推动社会经济发展、改善人类生活都具有重要意义,亟需更多的研究机构及相关企业参与其中。
