二硒化钴电催化剂的制备及氧还原性能测试
引用本文:杨晓玲,孙怡然,晁佳钰,等.二硒化钴电催化剂的制备及氧还原性能测试[J]. 化学试剂,2024,46(1):53-58 .
DOI:10.13822/j.cnki.hxsj.2023.0554
背景介绍
具有高附加值的绿色环保型氧化剂—过氧化氢的需求日益增加,急需发展绿色且安全的H2O2合成新方法。两电子氧还原反应是一种制备H2O2的高效方法,其中催化剂的高效率和高选择性是两电子氧还原反应的关键。过渡金属化合物催化剂因独特的各向异性结构和物化性质被广泛应用于氧还原反应。其中,CoSe2可以通过晶格阴离子来分离活性金属位点,抑制O-O键的断裂来抑制四电子氧还原反应,从而提升两电子氧还原反应选择性。同时,调控CoSe2的晶型可以实现其电催化活性与稳定性的提升。
文章亮点
1. 报道了一种简便的两电子氧还原电催化剂合成方法,即通过固相反应制备CoSe2电催化剂;
2. 该CoSe2电催化剂主要晶型为c-CoSe2,该晶型的形成有助于在碱性条件下电催化合成H2O2,选择性超过80%,稳定性良好;
3.为过渡金属化合物电催化剂的制备提供了一种新的思路,也为两电子氧还原反应的研究和应用提供了指导。
内容介绍
1 实验部分
1.1 主要仪器与试剂
1.2 实验方法
1.2.1 钴纳米粒子的制备
称取4.0 g(0.17 mol)六水合氯化钴溶解于15 mL 乙醇中得到溶液A,将4.8 mL(80 wt%)水合肼与10.0 g NaOH溶解于20 mL去离子水中得到溶液B。将溶液A慢慢滴加到25 ℃下超声的溶液B中,10 min内滴加结束,继续超声直至溶液B不再产生气泡。将产生的黑色沉淀用乙醇洗涤3次,得到钴纳米粒子,在装有乙醇的玻璃瓶中密封保存。
2 结果与讨论
2.1 形貌表征
采用固相反应法制备了不同退火温度下的CoSe2样品,对CoSe2-800,CoSe2-700和CoSe2-600进行扫描电镜观察(图1)。

a.CoSe2-600,c.CoSe2-700,e. CoSe2-800,b,d和f分别是a,c和e的放大图
图1 CoSe2-600,CoSe2-700和CoSe2-800的SEM图
Fig.1 SEM images of CoSe2-600,CoSe2-700and CoSe2-800
2.2 结构表征
不同退火温度下制备的CoSe2化合物样品的XRD图谱和CoSe2的XRD标准PDF卡片如图2所示。

图2 CoSe2-600,CoSe2-700和CoSe2-800的XRD图谱
Fig.2 XRD patterns of CoSe2-600,CoSe2-700 and CoSe2-800
图3是3种不同退火温度下制备的CoSe2样品的拉曼图谱,3种样品均在179、189 cm-1处出现两个峰,分别对应于c-CoSe2与o-CoSe2晶型中存在的不同 Se—Se 拉伸模式振动,证明了所制备的CoSe2是多晶型CoSe2催化剂[10]。

图3 CoSe2-600,CoSe2-700和CoSe2-800的拉曼光谱
Fig.3 X Raman spectra of CoSe2-600,CoSe2-700 and CoSe2-800
为了进一步探究产物的的化学组成和表面结构,通过X射线光电子能谱仪器测试了3种不同退火温度下制备的CoSe2样品的XPS谱图。

a. XPS总谱;b. Co 2p XPS图谱;c. Se 3d XPS图谱;d. CoSe2-700Co 2p 分峰曲线;e. CoSe2-700Se 3d 分峰曲线
图4 催化剂CoSe2的XPS图谱
Fig.4 XPS spectra of catalyst CoSe2
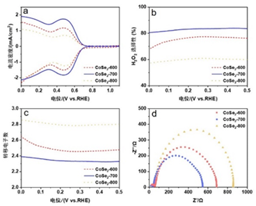
2.3 氧还原性能测试
按照1.2中方法制备催化剂的浆料,并在所配置的碱性电解液中进行氧还原测试,首先进行循环伏安(CV)测试,测试范围是0~1.1 V vs. RHE,扫速为100 mV/s,扫10圈使CV曲线稳定。

a.不同退火温度的CoSe2 LSV曲线;b. H2O2 选择性图谱;c. 转移电子数图谱;d. EIS图谱
图5 不同退火温度的ORR性能曲线
Fig.5 ORR performance curves of CoSe2 at different annealing temperatures
3 结论
本文借助多种表征方法与电化学氧还原测试对比了不同退火温度下制备的CoSe2的电催化性能,结果显示最佳的退火温度为700 ℃。通过XRD与拉曼光谱测试证明所制备CoSe2为多晶型结构,主要成分为c-CoSe2,该晶型的形成有助于在碱性条件下电催化合成H2O2。氧还原测试显示CoSe2催化剂可以在0 V(相对于RHE)达到2.0 mA/cm的环电流密度,以及80%的H2O2选择性。稳定性测试结果表明CoSe2催化剂可以达到10 h以上的稳定工作与78.42 mmol/(h·g)的产率。本文CoSe2催化剂制备简单,电催化性能优异,为高效制备H2O2提供了一条新思路。
