2024.0395苯酚表面分子印迹聚合物的吸附性能研究.pdf
背景介绍
.jpg)
文章亮点
1.合成方法新颖:目前,已有研究者制备出表面分子印迹聚合物用于废水中苯酚的去除,但以纳米二氧化硅作为载体合成印迹材料处理苯酚废水未有文献记载。
2.苯酚处理新材料:苯酚表面分子印迹聚合物对苯酚具有高度的特异选择性,解决了传统吸附料选择性差的问题。
3.材料吸附性能好:苯酚表面分子印迹聚合物对苯酚的吸附能力出色,能够快速达到吸附平衡,性能稳定,循环使用率高。
内容介绍
1 实验部分
1.1 主要仪器与试剂
1.2 SiO2表面改性
1.3 SiO2@SMIP和SiO2@SNIP的制备
2 结果与讨论
2.1 SiO2表面改性机理
KH570是一种常见的硅烷偶联剂,其两端分别带有硅氧键和活性双键。
图1为SiO2-SMIP和SiO2-SNIP在不同温度下的吸附曲线,在15~60 ℃范围内,随着温度的升高聚合物的吸附容量依次降低,由此表明,聚合物对苯酚的吸附是放热过程。
.jpg)
图2为SiO2-SMIP和SiO2-SNIP在不同pH下的吸附量变化曲线,当pH<7时,SiO2-SMIP随着 pH的增大吸附容量迅速增加;当pH=7时,SiO2-SMIP对苯酚的吸附量达到最大值(Qm=17.136 mg/g);当pH>7 时,SiO2-SMIP的吸附量开始下降,且下降速度很快;可能是在酸性和碱性条件下,溶液中苯酚不利于与SiO2-SMIP上的官能团产生作用,导致吸附量较低。
.jpg)
从图3可看出,30 min之前SiO2-SMIP对苯酚的吸附量随着时间的延长迅速上升,达到16.754 mg/g,30 min之后吸附量几乎没有变化,达到吸附平衡;SiO2-SNIP对苯酚的吸附随时间的变化规律与SiO2-SMIP相似,但吸附量远低于SiO2-SMIP。
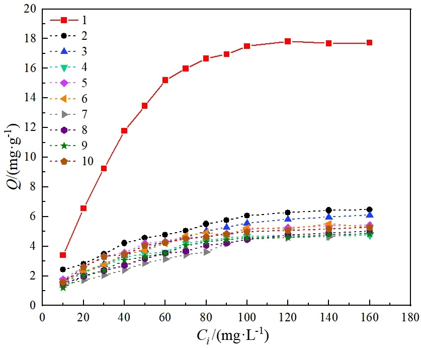
.jpg)
在温度为25 ℃、pH 7条件下进行静态吸附实验来评价SiO2-SMIP的结合能力。由图4可知,初始浓度在10~60 mg/L范围内,SiO2-SMIP对苯酚的吸附量随浓度的增加迅速增大;在60~120 mg/L浓度范围内,SiO2-SMIP对苯酚的吸附量也随着浓度的增加而增大,但增加的幅度降低;在120~160 mg/L浓度范围内,SiO2-SMIP对苯酚的吸附量不再随浓度的增加而增大,而是呈现波动状态,120 mg/L即是SiO2-SMIP的吸附平衡浓度。
.jpg)
选择对苯二酚、对甲苯酚、邻甲氧基苯酚和芝麻酚作为干扰物来研究SiO2-SMIP和SiO2-SNIP的选择识别性能,因为它们与苯酚具有相似的结构,结构式见图6。
.jpg)
图8为SiO2-SMIP和SiO2-SNIP对苯酚及其结构类似物的吸附结果。
.jpg)
图9为SiO2-SMIP对苯酚的吸附量随使用次数的变化情况。
.jpg)
为探究所制备的印迹聚合物对实际水样的吸附能力,做了实际水样吸附实验,结果如图10所示。
.jpg)
3 结论
采用表面分子印迹技术制备的苯酚表面分子印迹聚合物(SiO2-SMIP)对苯酚具有良好的特异选择吸附能力,能够快速达到吸附平衡,性能稳定,循环使用率高。可作为吸附剂材料有效分离、富集和回收废水中的苯酚,达到废水治理和苯酚回收利用的目的;也可用于食品样品和环境样品中苯酚的分离与富集,为复杂样品和低浓度苯酚样品的后续检测提供一种简便、易行的预处理方法。若进行系统的合成条件优化,所得吸附材料将会具有更好的吸附能力。
