【试剂前沿】新型1,3-二烯-2-硼酸试剂的绿色合成策略

在有机合成中,将简单分子高效、高选择性地连接成复杂结构是创造新物质的核心。同烯丙基硼化反应能够一步构建含有高烯丙基醇或胺骨架的分子,这类结构广泛存在于天然产物和药物活性分子中,是重要的合成目标。然而,该反应长期依赖结构复杂、稳定性差、且合成困难的硼酸试剂,限制了其广泛应用。
针对这一挑战,南京理工大学钟秦教授团队与日本东北大学合作,开创性地发展了一类结构稳定、易于制备的新型1,3-二烯-2-硼酸试剂,成功将其应用于高效的同烯丙基硼化反应。该类硼酸试剂无需任何外加金属或有机催化剂,即可在室温下与醛、酮、亚胺等多种亲电试剂高效反应,以高收率(与芳香醛反应收率可达98%)和高非对映选择性直接生成具有合成价值的高烯丙基醇与胺类化合物。
此项研究不仅攻克了高活性硼酸试剂稳定性与可获得性的传统难题,更提供了一种条件极其温和、步骤经济性高、且无需催化剂的绿色合成新范式,为复杂生物活性分子的后期修饰与多样性合成提供了强大而实用的新工具。
图片导读:

1,3-二烯-2-硼酸试剂在同烯丙基硼化反应中的应用

使用不同取代2,3-联烯醇与B₂(OH)₄经Pd/Cu/TsOH·H₂O共催化合成1,3-二烯-2-硼酸

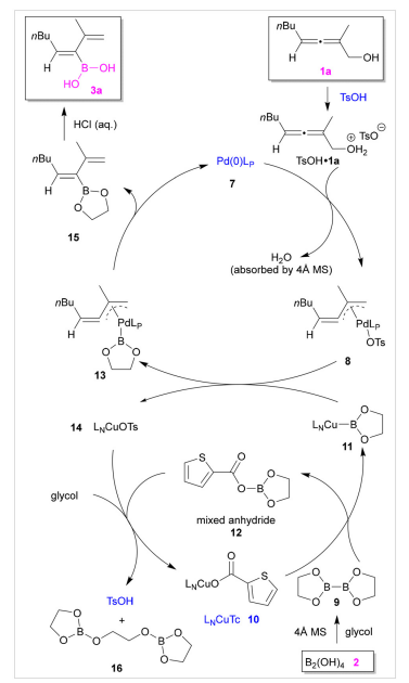
直接合成1,3-二烯-2-硼酸的可能反应途径
文章信息:
延伸阅读:硼酸试剂的应用舞台
在有机化学的工具箱中,硼酸试剂占据着独特而重要的位置。其中,最为人熟知的芳基硼酸和烷基硼酸,因其优异的稳定性和可靠的性能,已成为现代合成中不可或缺的“通用零件”。例如,2010年诺贝尔化学奖工作成果之一的Suzuki偶联反应:在碱存在下,有机硼试剂和芳香或烯基卤代物(或芳香三氟甲磺酸酯)在钯催化下进行交叉偶联的反应。

Suzuki偶联反应
除了经典的芳基/烷基硼酸,还有几类设计精妙、兼具稳定性与特殊功能的硼酸试剂,深刻拓展了合成的边界:
MIDA硼酸酯:它在空气中高度稳定、结晶性好,但其最关键的特性在于“动力学稳定性”——它在中性条件下极其惰性,但能在温和的碱性水溶液中快速水解,释放出高活性的硼酸参与反应,这一特性使其成为迭代交叉偶联的理想工具。

三氟硼酸钾盐:它将有机硼酸转化为无机盐形式,不仅稳定性大幅提升,更重要的是使其能直接溶于水,从而实现绿色、安全的水相Suzuki-Miyaura偶联,在工业规模生产中优势显著。
偕二硼试剂:其特殊结构(同一个碳上连两个硼基团)允许它进行顺序、差异化转化,例如一个硼基团参与偶联而另一个被氧化为羟基,从而能高效构建出含手性中心的复杂分子,极大丰富了合成策略。
硼酸试剂通常对空气和水分不敏感,易于储存和操作,极大地推动了药物分子和功能材料的模块化构建。然而,并非所有硼酸都如此“性情温和”。本文聚焦的1,3-二烯-2-硼酸试剂,长久以来便是合成化学家面临的一项特殊挑战。这类试剂的结构核心在于,其硼酸基团直接连接在一个活泼的共轭二烯骨架的中心碳原子上。这一设计虽赋予其独特的反应潜能,但也带来了固有的脆弱性:活泼的二烯骨架容易发生不可控的副反应(如聚合、异构化),而位于关键节点的硼酸基团也极不稳定。传统方法制备的此类化合物,往往在分离纯化过程中就发生分解,难以作为实用试剂保存和使用,如同一位身怀绝技却极度娇贵、难以走出实验室无菌环境的“特工”。
*本文部分内容由AI工具辅助生成,已由作者审核确认
编辑:张赫




