【试剂前沿】一类新型稳定的二氟甲基化试剂及其合成应用

文章原文:difluoromethylation-of-aryl-halides-via-palladium-catalyzed-redox-neutral-deacylation
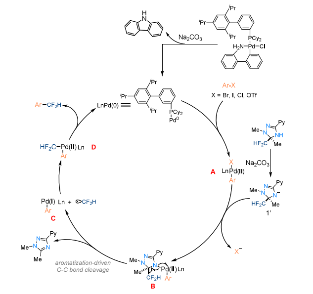
近日, 皖西学院潘攀、陈乃东/合肥工业大学冯乙巳团队开发了一种全新的二氟甲基化试剂,并成功实现了钯催化、氧化还原中性的芳基卤化物二氟甲基化反应。通过将商品化的 1,1-二氟丙酮 与 N′-甲基吡啶甲酰肼酰胺进行脱水缩合,制备出一种结构新颖、可稳定储存的试剂DDDTP。该试剂在氧化还原中性条件下表现出优异的底物适用性,可高效合成多种二氟甲基化(杂)芳烃,并成功用于药物分子的后期官能化。机理研究表明,二氟甲基自由基的成功释放源于芳构化驱动的C–C键断裂。

图片导读:

反应底物


机理研究
文章信息:
延伸阅读:常见的二氟甲基化试剂
在有机合成,尤其是药物与功能分子创制中,引入二氟甲基(CF₂H)基团是优化其理化与生物性能的关键策略。这一过程的实现,高度依赖于一系列特性各异的专用试剂。从反应机制与应用特点来看,常见的二氟甲基试剂主要可分为几个重要类别:
首先是以氯二氟甲烷和溴二氟甲烷为代表的气态卤代烷烃。它们作为最基本、廉价的CF₂H来源,可在过渡金属催化下通过氧化加成途径参与反应。然而,其气态性质对实验室常规操作的安全性与便利性构成显著挑战,且反应往往需要化学计量的牺牲还原剂,在原子经济性与操作复杂度上存在固有局限。
其次是以三丁基二氟甲基锡等为代表的有机金属试剂。该类试剂作为经典的亲核性CF₂H源,在钯或铜催化下能高效实现偶联转化。但其核心缺陷在于锡试剂固有的高毒性以及产物中难以完全去除的金属残留,这严重限制了其在药物后期修饰等对纯度要求极高的领域中的应用。
为了克服上述试剂在安全与纯度方面的瓶颈,化学家开发了结构明确的高活性金属配合物,例如二氟甲基银或二氟甲基锌试剂。这类试剂具有优异的反应活性和选择性,但其对空气、水分及光线极度敏感,通常需要在严格的无水无氧及低温条件下储存与操作,宛如需要精心维护的特种装备,其制备成本与操作门槛限制了其普及性。
近年来,利用二氟甲基自由基进行反应的策略日益受到重视,催生了新一代的自由基前体试剂。其中,二氟甲基亚磺酸钠等磺酰类试剂因其固体稳定、价格低廉而受到关注,但其通常依赖于较强的外部氧化条件来产生自由基,对复杂分子中多种敏感官能团的兼容性构成考验。

二甲基基团的理化性质(图片源自网络)
编辑|张 赫
校对|刘文燕
审核|屈缨虹




